All BASICSTANDARDADVANCED

Question 1026

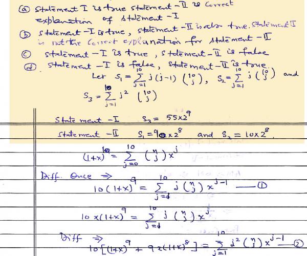
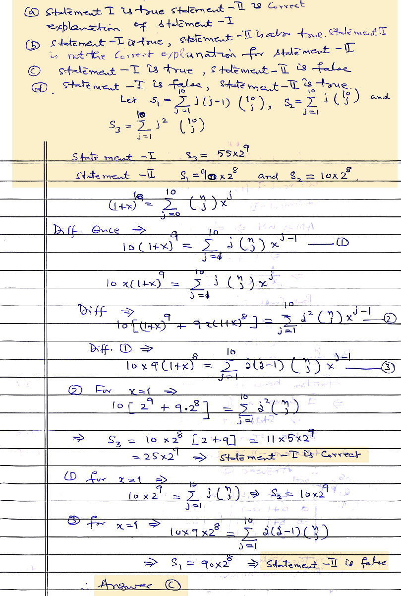
Let
  

Statement 1 -
Statement 2 -
Then which one of the following is correct


a) Statement 1 is true. Statement 2 is a correct explanation of statement 1.

b) Statement 1 is true. Statement 2 is true. Statement 2 is not a correct explanation of statement 1.

c) Statement 1 is true. Statement 2 is false.

d) Statement 1 is false. Statement 2 is true.

AIEEE 2010

Your Answer

ABCD   CLEAR


×