All BASICSTANDARDADVANCED

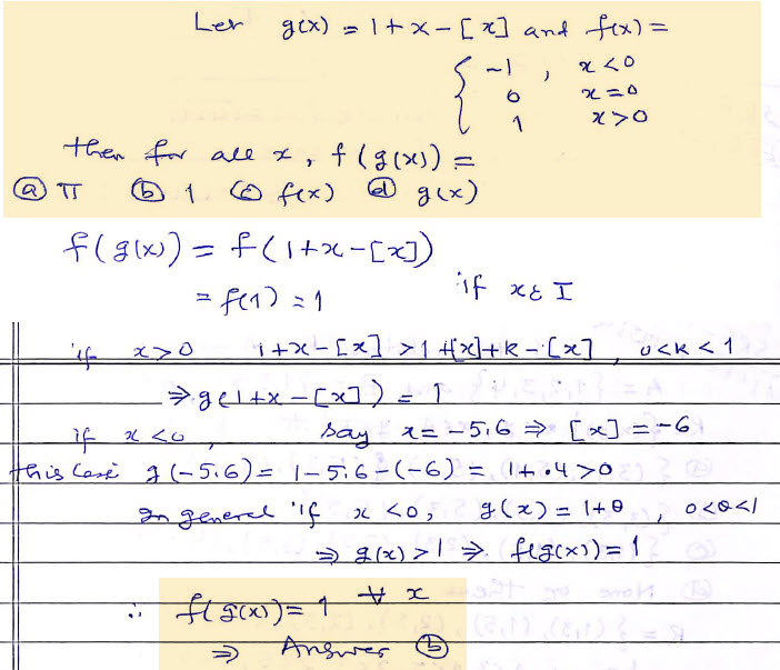
Question 1013

Let

then for all x, f(g(x) ) is equal to


a) 0

b) 1

c) f(x)

d) g(x)

Your Answer

ABCD   CLEAR


×