All BASICSTANDARDADVANCED

Question 1018

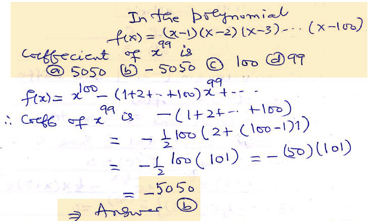
In the polynomial  coefficient of  is


a)  5050

b)  –5050

c)  100

d)  99

Your Answer

ABCD   CLEAR


×