All BASICSTANDARDADVANCED

Question 857

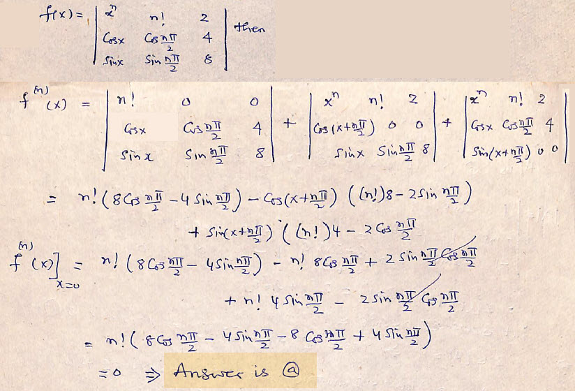
If f (x) =  then the value of  is


a) 0

b) 1

c) -1

d) 2

Your Answer

ABCD   CLEAR


×