All BASICSTANDARDADVANCED

Question 842

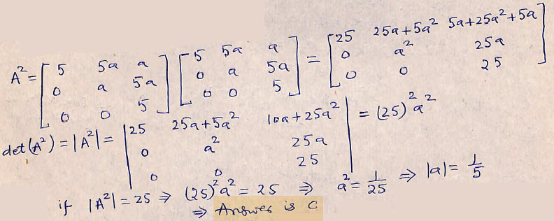
Let A =  . If |A2| = 25 then |a| equals


a) 52

b) 1

c)

d) 5

AIEEE 2007

Your Answer

ABCD   CLEAR


×