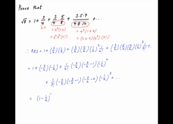
If , prove that +++ … +=
My Self Assessment
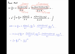
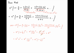
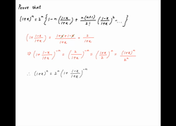
Prove that
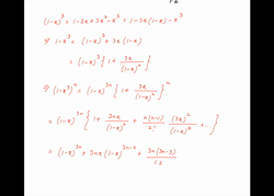
Show that the nth coefficient in the expansion of (1 – x)− n is double of (n – 1)th
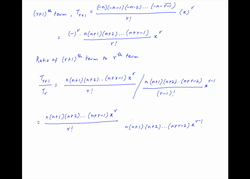
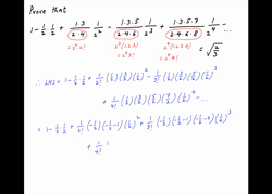
Find the greatest term in the expansion of (1 + x)−n when .
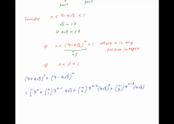
What is the greatest term in the expansion of when the value of x is .
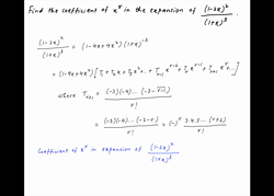
Find the coefficient of xn in the expansion of
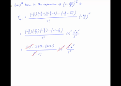
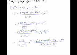
Find the coefficient of xr in the expansion of
If n is any positive integer show that the integral part of is an odd number.
Show that the integral part of is odd, if n is a positive integer.
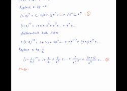
Find the coefficient of xn in the expansion of (1 – 2x + 3x2 – 4x3+ . . .)–n
Prove that the expansion of (1 – x3)n may be put in the form
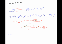
Prove that the coefficient of xn in the expansion of is 1, 0, −1 according as n is of the form 3m, 3m – 1, 3m + 1
If Sn denotes the sum of first n natural numbers prove that (1 – x)−3 = S1 + S2x +S3x2 + . . . + Snxn – 1+ . . .
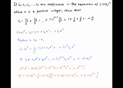
If C0, C1, C2 . . . Cn are coefficients in the expansion of (1 + x)n where n is a positive integer, show that
If where n and p are positive integers and β is a proper fraction, show that (1 – β) (p + β) = 1
Find the sum of the products, two at a time, of the coefficients in the expansion of (1 + x)n, when n is a positive integer
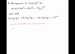
If the expansion be +x++ … ++…. +, show that
+++ … = +++ … = +++ … = 3n−1
If (1 + x + x2 + . . .+xp)n = +x++ … +, prove that
+++ … + = (p + 1)n