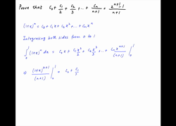
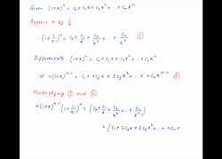
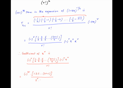
Prove that the coefficient of xr in the expansion of (1 – 4x)− 1/2 is
My Self Assessment
Find the term independent of x in
a)
b)
c)
d)
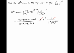
Find the 13th term of
a) 17984
b) 18012
c) 18564
d) 18712
d) None of the above
If xr occurs in the expansion of , prove that its coefficient is
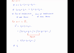
Prove that in the expansion of (1 + x)n the sum of the coefficients of the odd terms is equal to the sum of the coefficients of the even terms. Also find the sum of the coefficients of the even terms in the expansion of (1 + x)n.
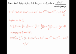
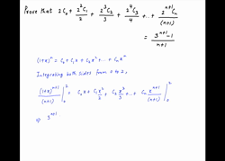
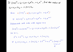
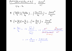
If (1 + x)n = C0 + C1x + C2x2 + . . . + Cnxn. Find the value of C0 + 2C1 + 3C2 + . . . + (n + 1)Cn
a) n . 2n – 1
b) (n + 1) 2n – 1
c) (n + 2) 2n – 1
d) n . 2n
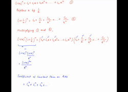
If (1 + x)n = C0 + C1x + C2x2 + . . . + Cnxn. Find the value of
Show that the coefficient of the middle term of (1 + x)2n is equal to the sum of the coefficients of the two middle terms of (1 + x)2n – 1
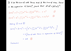
If A be the sum of odd terms and B the sum of even terms in the expansion of (x + a)n, prove that A2 – B2 =
If second, third and fourth term in the expansion of (x + y)n are 240, 720, 1080 respectively; find x, y, n.
a) n = 5, x = 2, y = 3
b) n = 5, x = 3, y = 2
c) n = 5, x = 3, y = 3
d) n = 5, x = y = 3
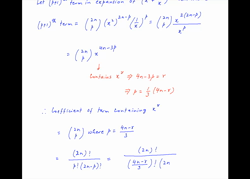
Find the (p + 2)th term from the end in
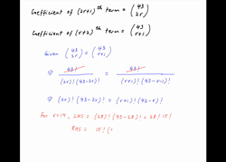
In the expansion of (1 + x)43 the coefficient of the (2r+1)th and (r+2)th terms are equal. Find r.
a) r = 13
b) r = 14
c) r = 15
d) r = 16
Find the relation between r and n in order that the coefficient of the 3rth and (r + 2)th terms of (1 + x)2n be equal if n is an even integer.
a) n = r
b) n = 2r
c) n = 3r
d) n = 4r
Show that the middle term in the expansion of (1 + x)2n is
Prove that C1 + 2C2 + . . . +nCn = n . 2n – 1
Prove
Prove that
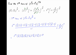
Find the seventh term of (38 + 64 x)11/4
a) 1000x6
b) 2000x6
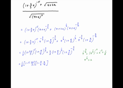
When x is so small that its square and higher powers may be neglected, find the value of