All BASICSTANDARDADVANCED

Question 954

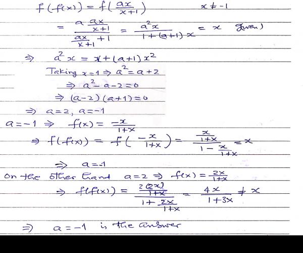
Let f ( x ) = , x ≠ 1 then for what value of a is f ( f (x)) = x


a)

b)

c) 1

d) 1

IIT 2001

Your Answer

ABCD   CLEAR


×