Solve the equation
My Self Assessment
a) x = 4
The zeros of the polynomial P(x) = x3 – 10x + 11 are u, v, w. Determine the value of tan−1u + tan−1v + tan−1w.
a)
b)
c) π
d) 2π
The polynomial x4 – 2x2 + ax + b has four distinct real zeros. Show that the absolute value of each zero is smaller than .
If A is a square matrix then find the nature of the following matrice:
Show that the matrix is Hermitian or skew Hermetian according as A is Hermitian or skew Hermitian.
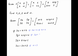
Given find x, y, z and w.
If the matrix A satisfies the equation then prove that exists and .
Determine the values of λ and μ for which the following equations x + y + z =6 x + 2y + 3z = 10 x + 2y + λz = μ have no solution, unique solution, infinite number of solutions
Find the values of k for which the set of equations 2x – 3y + 6z – 5t = 3, y – 4z + t = 1, 4x – 5y + 8z – 9t = k have (1) no solution (2) infinite number of solutions.
Determine the value of λ for which the system of equations have non–zero / non–trivial solutions 2x + y + 2z = 0, x + y +3z = 0, 4x + 3y + λz = 0.
Find the value of λ for which the following system of equations is consistent and has non–trivial solutions. Solve equations for all such values of λ.
Find the conditions on λ for which the system of equations 3x – y + 4z = 3, x + 2y – 3z + 2 = 0, 6x + 5y + λz +3 =0 have a unique solution. Find the solution for λ =
Evaluate
If a, b, c are positive numbers forming the pth, qth and rth terms of a geometric progression, prove that
If a, b, c are real numbers and
show that either a + b + c =0 or a = b = c
If a ≠ b ≠ c and
prove that abc = 1
A matrix of order has a determinant whose value is 4. Find the value of |3A|.
Prove that